-
PRetailer
sorry for disconnecting.
-
Isthmus
@sarang just cleaned up our econ data set
-
Isthmus
-
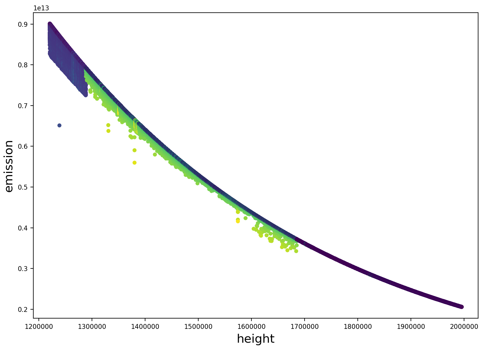
Isthmus
Color is block size
-
Isthmus
I think most of the low-payout blocks are due to altruistic miners that include lots/large transactions even when mining an empty block would have paid more
-
Isthmus
Note that altruistic mining is an entirely separate matter from underclaiming (not collecting all of fees + emission)
-
Isthmus
*separate phenomenon
-
cohcho
Isthmus: is it possible to alter create_block_template to maximize short term mining profit?
-
cohcho
I didn't know that It can grab large tx while decreasing block reward.
-
cohcho
only 21 days old
-
cohcho
sorry, wrong channel*
-
Isthmus
Sure @cohcho, if you don’t mind tinkering with the source code, you could program it any way that you want (within limits of consensus rules)
-
Isthmus
Side note:
-
Isthmus
Let’s say the mempool contains apathetic or many transactions, such that including them results in a decrease in the *total* payout. We define two types of miners: altruistic miners mine the transaction(s) and take a hit to their bottom line (i.e. make a donation) so that transactions get processed. A rational miner will only mine subsets of the mempool that don’t decrease the total reward
-
Isthmus
I don’t know which mining software is rational versus altruistic
-
Isthmus
Core or pools, but I’m curious now.
-
Isthmus
Tentative analysis suggests that both are exhibited in the wild, but that piece is preliminary and may be wrong
-
smooth
iirc the core template generator makes some shortcuts. tries to be rational but may get it slightly wrong at times
-
smooth
most pools ask core for a template, though some may not
-
smooth
if you are looking at old blocks, core used to be much more altristic or arguably just 'dumb'
-
cohcho
What tests can mine blocks with randomx?
-
moneromooo
Some core tests do.
-
moneromooo
There's a PR that adds tests specific to it, but it's broken on current master and I've not debugged yet,
-
cohcho
Does any among some core tests mine long chain of randomx blocks in a row?
-
moneromooo
Yes, about that long.
-
moneromooo
The PR I speak of mines more than a rx period and re-mines it (that's the part that broke though).
-
Isthmus
Ah cool, thanks @smooth. I didn't know if they implemented from scratch or not.
-
Isthmus
-
Isthmus
In that case, runs like this suggest that the core software is probably altruistic
-
Isthmus
Since there were no rational blocks for an hour
-
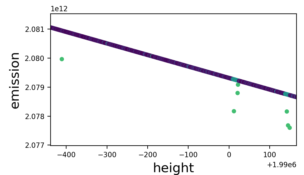
» Isthmus points towards the data around height: offset + 500
-
Isthmus
color = block size
-
Isthmus
(blue for small blocks, yellow for large blocks)
-
moneromooo
It stops adding txes when the blockreward starts decreasing by more than some small threshold.
-
moneromooo
Hmm. The threshold is 0. So it really tries to get the last atomic unit.
-
moneromooo
Though it considers txes linearly, it doesn't try to fit different (smaller) ones at the limit.
-
Isthmus
Did the threshold get set to zero in v8?
-
Isthmus
Cuz a lot of the jitter disappears around 1685555
-
Isthmus
-
Isthmus
However there is still *some* jitter, as seen in these very recent blocks:
-
Isthmus
-
moneromooo
Looks like it as 1% till january 2017.
-
moneromooo
was*
-
moneromooo
Also, it may pay off to include a bit more tx data and get less block reward if it makes the block size go up so you can fit more for a bigger reward later. That's what the threshold was meant to do (but the value was pulled out of my... hat).
-
koe
Isthmus is that reward+fees?
-
Isthmus
-
Isthmus
@koe yes/essentially.
-
Isthmus
Calculated as total payout minus total fees
-
koe
its a cowcow
-
Isthmus
Photographer Nina Leen has an extensive series of photos of cows wearing hats
-
Isthmus
@moneromooo makes sense RE leaving room for block size growth
-
Isthmus
Though eyeballing from the second to last plot, the altruistic donation looks closer to 10% than 1%
-
Isthmus
If the leeway is now set to 0 atomic units, we can conclude that the outlier blocks in the last plot (very recent data) are not constructed by the core software, right?
-
koe
wait isn't total payout minus potential block reward the better metric?
-
Isthmus
That'd be ideal, yes.
-
Isthmus
I was just working with column operations in SQL
-
Isthmus
so subtracting SUM(fees) from the payout is muuuuuch easier than implementing the whole reward calculation
-
Isthmus
I'm really time constrained these days, but happy too share data/access with anybody who wants to whip that up
-
koe
ah fair enough, it can get a bit involved especially nowadays with block weights
-
Isthmus
Argh I was just closing a bunch of tabs, and a coworker walked past right as my browser flipped to a page full of cows wearing hats 🙈
-
koe
hard at work or hardly working? :p
-
koe
does the core implementation optimize for total payout? what's the function/algorithm used to select transactions for inclusion?
-
Isthmus
I'm curious about this too
-
gingeropolous
i found this code once
-
gingeropolous
once upon a dream
-
koe
gingeropolous im gonna take a nap, will you dream-mail me the code reference?
-
Insight
is there a guide on how to set up a monero testnet?
-
Insight
im utilizing it to test my new consensus rules and see if it actually works
-
lza_menace
Insight: do you mean configure a node to use the testnet?
-
asymptotically
-
moneromooo
Yes, on github. I think the person has a nick with "emil" in it.
-
Insight
ah, thank you.
-
PlasmaPower
Is there anyone around that knows Borromean ring signatures and would mind helping me through some areas? Specifically, if the key we know is the last one in its group, doesn't that conflict with e0?
-
PlasmaPower
Also, the diagram given in the paper is for (P0 | P1 | P2) & (P0' | P3 | P4) . What does it mean by P0' ?
-
koe
-
selsta
moneromooo: not sure if you are reading on Github but ph4r05 will fix core tests on Monday